1
/
of
12
www.ChineseStandard.us -- Field Test Asia Pte. Ltd.
DB44/ 815-2010 English PDF (DB44/815-2010)
DB44/ 815-2010 English PDF (DB44/815-2010)
Regular price
$395.00
Regular price
Sale price
$395.00
Unit price
/
per
Shipping calculated at checkout.
Couldn't load pickup availability
DB44/ 815-2010: Emission standard of volatile organic compounds for printing industry [LOCAL STANDARD OF GUANGDONG PROVINCE]
Delivery: 9 seconds. Download (and Email) true-PDF + Invoice.Get Quotation: Click DB44/ 815-2010 (Self-service in 1-minute)
Newer / historical versions: DB44/ 815-2010
Preview True-PDF
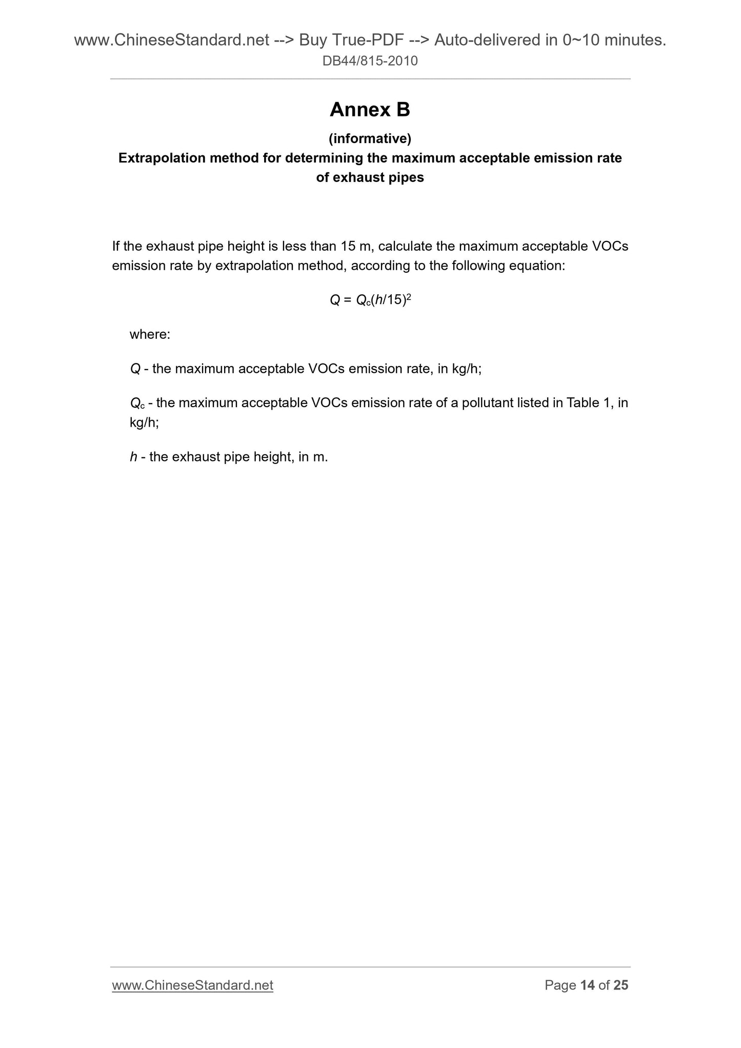
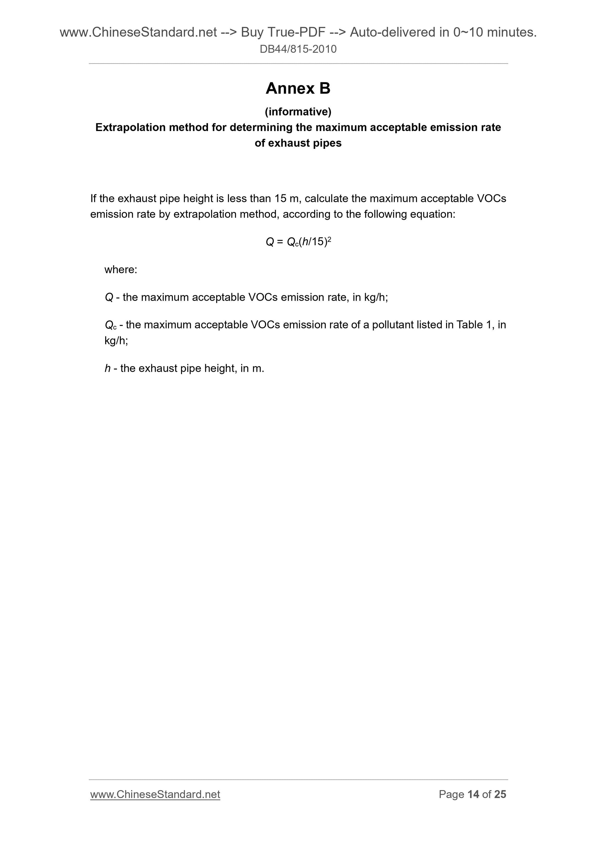
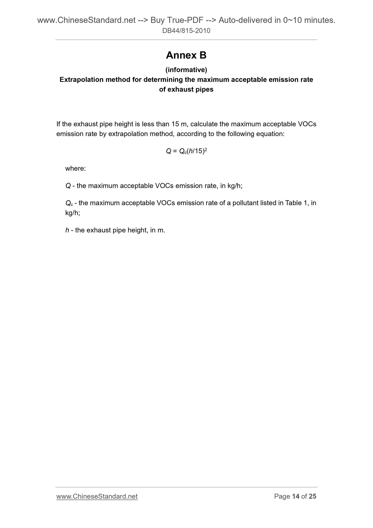
Scope
This Standard specifies the content limits of volatile organic compounds (VOCs) in theink (in the ready-to-use state) used in the printing process of printing enterprises in
Guangdong Province; it also specifies the requirements for VOCs emission control.
This Standard applies to the VOCs emission control of existing printing enterprises, as
well as the environmental impact assessment, design, completion acceptance of
projects under construction, reconstruction and expansion, and the VOCs emission
control of these pollution sources after completion.
This Standard applies to the printing by lithographic, letterpress, gravure, flexographic
and screen (porous) printing methods, using newspapers, books, magazines,
advertising, posters, packaging (paper, plastic), metal, glass, ceramics and other
materials as substrates.
Basic Data
Standard_ID | DB44/ 815-2010 (DB44/815-2010; DB44 815-2010; DB44815-2010) |
Description (Translated English) | (Volatile Organic Compound Emission Standards for the Printing Industry) |
Sector / Industry | Provincial-Local Standard |
Date of Issue | 22/10/2010 |
Date of Implementation | 1/11/2010 |
Administrative Organization | Guangdong Provincial Bureau of Quality and Technical Supervision |
Share











