1
/
of
5
www.ChineseStandard.us -- Field Test Asia Pte. Ltd.
GB/T 1668-2008 English PDF (GB/T1668-2008)
GB/T 1668-2008 English PDF (GB/T1668-2008)
Regular price
$85.00
Regular price
Sale price
$85.00
Unit price
/
per
Shipping calculated at checkout.
Couldn't load pickup availability
GB/T 1668-2008: Plasticizers -- Determination of acid value and acidity
Delivery: 9 seconds. Download (and Email) true-PDF + Invoice.Get Quotation: Click GB/T 1668-2008 (Self-service in 1-minute)
Newer / historical versions: GB/T 1668-2008
Preview True-PDF
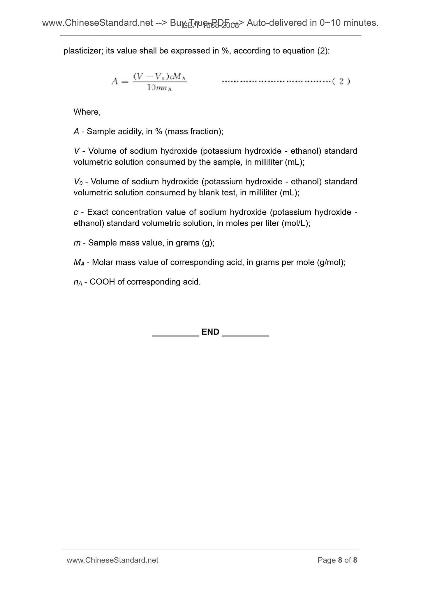
Scope
This Standard specifies the determination method of acid value and acidity ofplasticizers.
This Standard is applicable to the determination of acid value and acidity of
general plasticizers.
Basic Data
Standard ID | GB/T 1668-2008 (GB/T1668-2008) |
Description (Translated English) | Plasticizers -- Determination of acid value and acidity |
Sector / Industry | National Standard (Recommended) |
Classification of Chinese Standard | G70 |
Classification of International Standard | 71.100.40 |
Word Count Estimation | 5,518 |
Date of Issue | 2008-06-04 |
Date of Implementation | 2008-12-01 |
Older Standard (superseded by this standard) | GB/T 1668-1995; GB/T 6489.2-2001 |
Quoted Standard | GB/T 601; GB/T 603; GB/T 6682 |
Regulation (derived from) | National Standard Approval Announcement 2008 No.9 (Total No.122) |
Issuing agency(ies) | General Administration of Quality Supervision, Inspection and Quarantine of the People's Republic of China, Standardization Administration of the People's Republic of China |
Summary | This standard specifies the method for determination of acid value and acidity of the plasticizer. This standard applies to the determination of acid value and acidity general plasticizer. |
Share




